Home
>
Math
>
Indefinite Integration
Indefinite Integration
Hard
Question
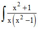
dx is equal to-
Options
A.
log
+ c
B.
− log
+ c
C.
log
+ c
D.
− log
+ c
Solution
-
Create a free account to view solution
View Solution Free
Topic:
Indefinite Integration
·
Practice all Indefinite Integration questions
More Indefinite Integration Questions
dx equals-...
The value of dx is equal to...
xn log x dx equals-...
The value of is equal to...
dx is equal to -...