Current Electricity and Electrical InstrumentHard
Question
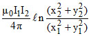
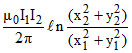
Figure shows an infinitely long wire carrying an outward current I1. The current is along Z axis. There is a curved wire carrying current I2. The magnetic force on this wire between (x1, y1) and (x2, y2) is


Options
A.
B.
C.
D.
Topic: Current Electricity and Electrical Instrument·Practice all Current Electricity and Electrical Instrument questions
More Current Electricity and Electrical Instrument Questions
There are 8.4 × 1022 free electrons per cm3 in copper. The current in the wire is 0.21 A (e = 1.6 × 10-19 C). ...Equiavalent resistance between A and B is :-...The difference in the variation of resistance with temperature in a metal and a semiconductor arises essentially due to ...In the circuit shown P ≠ R, the reading of galvanometer is same with switch S open or closed. Then...A micro ammeter has a resistance of 100 and a full scale range of 50 . It can used as a voltmeter or a higher range amme...
