Home
>
Math
>
Differentiation
Differentiation
Hard
Question
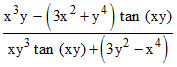
If x
3
cos (xy) + y
3
sin (xy) + 1 = 0, then dy/dx equals-
Options
A.
B.
C.
D.
None of these
Solution
-
Create a free account to view solution
View Solution Free
Topic:
Differentiation
·
Practice all Differentiation questions
More Differentiation Questions
If y = , then dy/dx equals -...
If y = , then dy/dx equals–...
If y = , then the value of xy where dy/dx = 0 is-...
The differential coefficient of the function tan−1 w.r.t. x2 is-...
If y = sin 2x cos 6x, then the value of is -...