Math miscellaneousHard
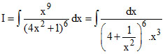
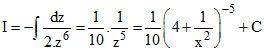
Question
Options
A.
B.
C.
D.
More Math miscellaneous Questions
Let X and Y be two events such that P(X)=13, P(X|Y) = 12 and P(Y|X) = 25. Then...If α, β ≠ 0, and f(n) = αn + βn and = K(1 - α)2 (1 - β)2 (α - β)2, then K ...There are two urns. Urn A has 3 distinct red balls and urn B has 9 distinct blue balls. From each urn two balls are take...If f(x) = dt, 0 , then f′(x) is -...There are n married couples at a party. Each person shakes hand with every person other than her or his spouse. The tota...