Math miscellaneousHard
Question
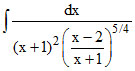
The integral
is equal to
Options
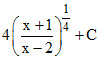
A.
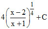
B.
C.
D.
More Math miscellaneous Questions
r and n are positive integers r > 1, n > 2 and coefficient of (r + 2)th term and 3rth term in the expansion of (1+x)2n a...Let A = . If |A2| = 25, then |α| equals...The solution for x of the equation is...Let x1, x2,....,xn be n observations such that Σ x21 = 400 and Σ x1 = 80 Then a possible value of n among the ...For 15 observations of x, mean and median were found to be 12 and 20 respectively. Later an observation which was 25 fou...