[DUP-84] Continuity and DifferentiabilityHard
Question
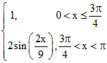
Which of the following function is not continuous in the interval (0, π) -
Options
A.x sin 
B.
C.tan x
D.None of these
Topic: [DUP-84] Continuity and Differentiability·Practice all [DUP-84] Continuity and Differentiability questions