Home
>
Math
>
Limits
Limits
Hard
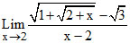
Question
is equal to-
Options
A.
B.
√3
C.
0
D.
None of these
Solution
-
Create a free account to view solution
View Solution Free
Topic:
Limits
·
Practice all Limits questions
More Limits Questions
is equal to...
The function f defined by f(x) = is...
If f(x) is differentiable everywhere, then:...
The value of is -...
If l =(sin - sin √x) and m =[sin - sin √x], where [.] denotes the greatest integer function, then :...