FunctionHard
Question
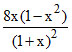
If f : [0,1] → [0,1], f(x) =
. g : [0,1] → [0,1], g(x) = 4x (1 − x), then (fog) (x) equals-
Options
A.
B.
C.
D.None of these
More Function Questions
The function f (x) = cos (log (x +)) is-...The solution for [x] {x} = 1 where {x} and [x] are fractional part & integral part of x, is -...The domain of the function f(x) = sin-1 + + log(3{x} + 1) (x2 + 1),where {.} represents fractional part function, is:...If g(x) is a polynomial satisfying g(x) g(y) = g(x) + g(y) + g(xy) - 2 for all real x and y and g(2) = 5 then g(3) is eq...It is given that f(x) is a function defined on R, satisfying f(1) = 1 and for any x ∈ R f(x + 5) ≥ f(x) + 5a...