Magnetic field due to currentHard
Question
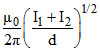
Two identical conducting wires AOB and COD are placed at right angles to each other. The wire AOB carries an electric current I1 and COD carries a current I2. The magnetic field on a point lying at a distance d from O, in a direction perpendicular to the plane of the wires AOB and COD, will be given by-
Options
A.
B.
C.
(I1 + I2)
D.
More Magnetic field due to current Questions
A particle of charge + q and mass m moving under the influence of a uniform electric field Eî and uniform magnetic ...A point charge q moves from point P to point S along the path PQRS (see fig) in a uniform magnetic field pointing along ...A coil in the shape of equilateral triangle of side 0.02 m is suspended from the vertex such that it is hanging in a ver...A particle having charge q enters a region of uniform magnetic field (directed inwards) and is deflected a distance x af...A particle of charge -16 × 10-18 C moving with velocity 10 ms-1 along the x-axis enters region where a magnetic fie...