Progression (Sequence and Series)Hard
Question
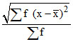
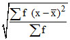
For a frequency distribution standard deviation is computed by-
Options
A.σ = 
B.σ = 
C.σ = 
D.σ = 
More Progression (Sequence and Series) Questions
In a college of 300 students every student reads 5 newspapers and every newspaper is read by 60 student. The number of n...If first term of a decreasing infinite G.P. is 1 and sum is S, then sum of squares of its terms is-...If a1, a2, a3, ......, a24 are in A.P. and a1 + a5 + a10 + a15 + a20 + a24 = 225, then a1 + a2 + a3 + ...... + a23 + a24...The mean of discrete observations y1, y2,....yn is given by-...If 1, log9 (31 − x + 2) and log3 (4.3x − 1) are in A.P., then x is equal to -...