Progression (Sequence and Series)Hard
Question
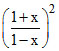
The sum of infinite terms of the progression 1 + 3x + 5x2 + 7x3 + ......(x < 1) is-
Options
A.
B.
C.
D.None of these
More Progression (Sequence and Series) Questions
If the ratio of sum of n terms of two A.P′s is(3n + 8) : (7n + 15), then the ratio of 12th terms is-...Let σ be the standard deviation of n observations. Each of the n observations is multiplied by a constant c. Then ...Sum of n terms of 1+ (1 + x) + (1 + x + x2) + (1+ x + x2+ x3) +.... is-...The sum of the first n terms of the series 12 + 2 . 22 + 32 + 2 . 42 + 52 + 2 . 62 + ... is when n is even. When n is od...The sum of three positive numbers constituting an arithmetic progression is 15. If we add 1,4,19 to those numbers respec...