Math miscellaneousHard
Question
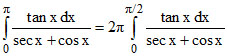
The value of
dx is
Options
A.π2/4
B.π2/2
C.3π2/2
D.π2/3
Solution
I =
dx
⇒ I =
⇒ I =
⇒ 2I = π
⇒ I = π
⇒ I = - π
= π [tan-1t]10 = 
⇒ I =
⇒ I =
⇒ 2I = π
⇒ I = π
⇒ I = - π
Create a free account to view solution
View Solution FreeMore Math miscellaneous Questions
Let Sn = and Tn = for n = 1, 2, 3, .... Then,...If a1, a2, ......., a2n+1 are in G.P., then is equal to (where each ai > 0) -...If A2 - A + I = 0, then the inverse of A is...The average marks of boys in a class is 52 and that of girls is 42. The average marks of boys and girls combined is 50. ...Suppose a population A has 100 observations 101, 102, ...., 200, and another population B has 100 observations 151, 152,...