Rotational MotionHard
Question
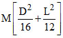
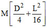
The moment of inertia of a solid cylinder of diameter D and length L about an axis perpendicular to the length and passes through the centre of gravity will be :-
Options
A.
B.
C.
D.
More Rotational Motion Questions
Two rings of the same radius and mass are placed such that their centers are at a common point and their planes are perp...If the mass of hydrogen atom is 1.7 × 10-24 g and inter atomic distance in a molecule of hydrogen is 4 × 10-8 ...The moment of inertia of a uniform semicircular disc of mass M and radius r about a line perpendicular to the plane of t...A rod is hinged at its centre and rotated by applying a constant torque starting from rest. The power developed by the e...Two rings of radius R and nR made up of same material have the ratio of moent of inertia about an axis passing through c...