Rotational MotionHard
Question
A non uniform rod OA of liner mass density λ = λ0x (λ0 = co nst.) is suspended from ceiling with hinge joint O & light string as shown in figure. Find the angular acceleration of rod just after the string is cut


Options
A.
B.
C.
D.None of these
Solution
Centre of mass of the rod
= C.M. from ′O′ =
∴ C.M. =
L from O
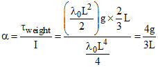
Moment of inertia about O is
I =

∴ Angular acceleration

= C.M. from ′O′ =
∴ C.M. =
Moment of inertia about O is
I =

∴ Angular acceleration
Create a free account to view solution
View Solution FreeMore Rotational Motion Questions
A cubical block of side a moving with velocity v on a horizontal smooth plane as shown. It hits a ridge at point O. The ...In an orbital motion, the angular momentum vector is :-...A uniform bar of length 6a and mass 8m lies on a smooth horizontal table. Two point masses m and 2m moving in the same h...A slender uniform rod of length l is balanced vertically at a point P on a horizontal surface having some friction. If t...Four similar point masses (each of mass m) are placed on the circumference of a disc of mass M and radius R. The M.I. of...