Magnetic field due to currentHard
Question
A current loop consist of two identical semicicular parts each of radius R, one laying in the x-y plane and other in x-z plane. If the current in the loop is i. The resultant magnetic field due to the two semicircular parts at their common centre is
Options
A.

B.

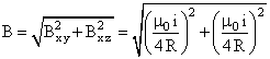
C.

D.

Solution
The loop mentioned in the question must look like one as shown in the figure
Magentic field at the centre due to semicircular loop lying in x-y plane, Bx,y =
negative z direction. Similarly field due to the loop in x-z plane, Bxz =
in negative y direction.∴ Magnitude of resultant magnetic field


Create a free account to view solution
View Solution FreeMore Magnetic field due to current Questions
A magnetic needle lying parallel to a magnetic field requires W unit of work to turn it through 60o. The torque needed t...An electron (mass = 9.1 × 10-31; charge = - 1.6 × 10-19 C) experiences no deflection if subjected to an electr...Magnetic field intensity of a short magnet at a distance 1m. on axial line is 1 oersted. At a distance 2 m. on the same ...In each of the following diagrams, the magnetic field in the circular region is inside the plane of the paper and is inc...The time period of oscillation of a magnet in vibration magnetometer is 1.5 second. The time period of oscillation of an...