Magnetic field due to currentHard
Question
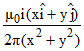
A long straight wire along z axis carries a current i in -z direction. The magnetic field
at a point having co-ordinate (x, y) on the z = 0 plane is :-
Options
A.
B.
C.
D.
Solution
B =
Create a free account to view solution
View Solution FreeMore Magnetic field due to current Questions
In the figure, a charged sphere of mass m and charge q starts sliding from rest on a vertical fixed circular track of ra...A magnetic field :-...In a vibration magnetometer, the time period of a bar magnet oscillating in horizontal component of earth′s magnet...1A current flows through an infinitel long straight wire. The magnetic field produced at a point 1m. away from it is : -...A bar magnet has a magnetic moment equal to 5 × 10-5 A-m2. It is supended in a magnetic field of 8π × 10-...