Momentum and CollisionHard
Question
Water filled in an empty tank of area 10 A through a tap of cross sectional area A. The speed of water flowing out of tap is given by v (m/s) = 10
where ′t′ is in seconds.The height of water level from the bottom of the tank at t = 15 second will be :
Options
A.10 m
B.
C.
D.
m
Solution
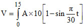
Rate of flow = Av
volume of water filled in tank in 15 s

= 10A
= 10 A
height of water level =
volume of water filled in tank in 15 s
= 10A
height of water level =
Create a free account to view solution
View Solution FreeMore Momentum and Collision Questions
The balls, having linear momenta and , undergo a collision in free space. There is no external force acting on the balls...If the equation for the displacement of a particle moving on a circular path is given as θ = 2 t3 + 0.5, Where _...A force exerts an impulse I on a particle changing its speed from u to 2u. The applied force and the initial velocity ar...If both the blocked as shown in the given arrangement are given together a horizontal velocity towards right. If acm be ...Two particles A and B initially at rest, move towards each other the mutual force of attraction. At the instant when the...