Home
>
Math
>
Limits
JEE Advanced | 2013
Limits
Hard
Question
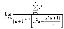
For a ∈ R (the set of all real numbers), a ≠ 1.
Then a =
Options
A.
5
B.
7
C.
D.
Solution
⇒ 2a
2
+ 3a - 119 = 0 ⇒ a = 7
Create a free account to view solution
View Solution Free
Topic:
Limits
·
Practice all Limits questions
More Limits Questions
If f(x) = x, then indicate the correct alternative(s):...
Let f″(x) be continuous at x = 0 and f″(0) = 4 then value of is...
when α ∈ Q is equal to...
The function f(x) = sin-1 (cos x) is:...
The value of is -...