Home
>
Math
>
Limits
Limits
Hard
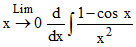
Question
dx is equal to-
Options
A.
1/2
B.
− 1/2
C.
0
D.
1
Solution
-
Create a free account to view solution
View Solution Free
Topic:
Limits
·
Practice all Limits questions
More Limits Questions
If f is a odd function and f(x) exists then f(x) equals-...
equals-...
The function f(x) = sin-1 (cos x) is:...
For a > 0, let l = and m =then -...
If exists and finite, then possible values of ′n′ and ′k′ is :...