Laws of MotionHard
Question
Block A of mass m is placed over a wedge B of same mass m . Assuming all surface to be smooth . The displacement of block A in 1 s if the system is released from rest is


Options
A.
B.
C.

D.

Solution
Acceleration of B : a1 = 


Acceleration of A, a2 =
but
a1 sin θ = a2
⇒
⇒N2 = 
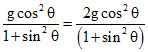
a2 = g -
Displacement =
a2t2 = 


Acceleration of A, a2 =

but
a1 sin θ = a2⇒
a2 = g -
Displacement =
Create a free account to view solution
View Solution FreeMore Laws of Motion Questions
The breaking strength of a rope is 45 kg wt. A fire man weighing 60 kg slides down the rope. The rope :...Two beads A and B move along a semicircular wire frame as shown in figure. The beads are connected by an inelastic strin...A horizontal force of 1 N is needed to keep a block of mass 0.25 kg sliding on a horizontal surface with a constant spee...Ten one rupees coins are put on top of each other on a table. Each coin has a mass ′m′ kg., then the force o...Three masses of 1 kg , 6 kg and 3 kg are connected to each other with threads and are placed on table as shown in figure...