CircleHard
Question
Let A and B be two distinct points on the parabola y2 = 4x. If the axis of the parabola touches a circle of radius r having AB as its diameter, then the slope of the line joining A and B can be
Options
A.

B.

C.

D.

Solution
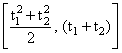
A = (t12, t1), B = (t22, 2t2)
Centre =
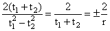
t1 + t2 =
m =
Centre =

t1 + t2 =

m =

Create a free account to view solution
View Solution FreeMore Circle Questions
Tangents drawn from the point P(1, 8) to the circle x2 + y2 - 6x - 4y - 11 = 0 touch the circle at the points A and B. T...The area of smaller region bounded by the circle x2 + y2 = 1 and the lines |y| = x + 1 is...A spherical iron ball 10 cm in radius is coated with a layer of ice of uniform thickness than melts at a rate of 50 cm3/...The angle between the two tangents from the origin to the circle (x -7)2 + (y + 1)2 = 25 equals -...The parametric coordinates of any point on the circle x2 + y2 − 4x − 4y = 0 are-...