Current Electricity and Electrical InstrumentHard
Question
If the length of the filament f a heater is reduced by 10 %, the power of the heater will
Options
A.increase by about 9%
B.increase by about 11 %
C.increase by about 19 %
D.decrease by about 10%
Solution
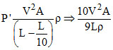
P ⇒
......(i)
......(ii)
from eq. (i) & (ii) P′ =
P
× 100 ⇒
× 100 ⇒
× 100 ⇒ 11.11 %
from eq. (i) & (ii) P′ =
Create a free account to view solution
View Solution FreeTopic: Current Electricity and Electrical Instrument·Practice all Current Electricity and Electrical Instrument questions
More Current Electricity and Electrical Instrument Questions
A small signal voltage V(t) = V0 sin ωt is applied across an ideal capacitor C:...The length of a potentiometer wire is l.A cell of emf E is balanced at a length l/3 from the positive end of the wire. I...The radius of the circular loop is ′a′. Magnetic field is increasing at the constant rate α Magnetic fi...If 106 electrons/s are flowing through an area of cross section of 10-4 m2 then the current will be : -...In an electric circuit containing a battery, the positive charge inside the battery...