Math miscellaneousHard
Question
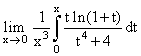
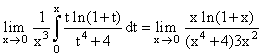
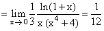
The value of 

Options
A.0
B.

C.

D.

More Math miscellaneous Questions
Let X and Y be two events such that P(X|Y)= , P(Y|X) = and P(XY) = Which of thefollowing is (are) correct?...The variance of first 50 even natural numbers is...The lines p(p2 + 1) x - y + q = 0 and (p2 + 1)2 x + (p2 + 1)y + 2q = 0 are perpendicular to a common line for...The mean of the numbers a, b, 8, 5, 10 is 6 and the variance is 6.80. Then which one of the following gives possible val...In the expansion of (1 + x + y + z)4 the ratio of coefficient of x2y, xy2z, xyz are:-...

