Binomial TheoremHard
Question
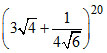
In the expansion of
-
Options
A.the number of irrational terms = 19
B.middle term is irrational
C.the number of rational terms = 2
D.9th term is rational
More Binomial Theorem Questions
79 + 97 is divisible by :...Let Tn denotes the number of triangles which can be formed using the vertices of a regular polygon of n sides. If Tn+1 -...Co-efficient of x5 in the expansion of (1 + x2)5 (1 + x)4 is :...If an =, the value of is :...The sum of the coefficients of $x^{499}$ and $x^{500}$ in $(1 + x)^{1000} + x(1 + x)^{999} + x^{2}(1 + x)^{998} + \ldots...