EllipseHard
Question
Equation of the ellipse whose axes are the axes of coordinates and which passes through the point (3, - 1) and has eccentricity
is
isOptions
A.5x2 + 3y2 - 48 = 0
B.3x2 + 5y2 - 15 = 0
C.5x2 + 3y2 - 32 = 0
D.3x2 + 5y2 - 32 = 0
Solution
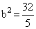
b2 = a2 (1 - e2) = a2


∴ Required equation of ellipse 3x2 + 5y2 - 32 = 0


∴ Required equation of ellipse 3x2 + 5y2 - 32 = 0
Create a free account to view solution
View Solution FreeMore Ellipse Questions
An ellipse intersects the hyperbola 2x2 - 2y2 = 1 orthogonally. The eccentricity of the ellipse is reciprocal of that of...If the latus rectum of the ellipse x2 tan2 α + y2 sec2α = 1 is 1/2 then α =...A tangent having slope of - to the ellipse = 1 intersects the major & minor axes in points A & B respectively. If C is t...If C is the centre of the ellipse 9x2 + 16y2 = 144 and S is one focus. The ratio of CS to major axis, is...An ellipse has OB as semi minor axis, F and F′ its focii and the angle FBF′ is a right angle. Then the eccen...