Trigonometric EquationHard
Question
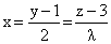
If the angle between the line
and the plane x + 2y + 3z = 4 is cos-1
, then λ equals
and the plane x + 2y + 3z = 4 is cos-1
, then λ equals Options
A.

B.

C.

D.

and the plane x + 2y + 3z = 4 is cos-1
, then λ equals 


