ParabolaHard
Question
If (t2, 2t) is one end of a focal chord of the parabola y2 = 4x then the length of the focal chord will be -
Options
A.
B.
C.
D.none
Solution
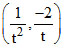
Given (t2, 2t) be one end of focal chord then other
end be
length of focal chord
=
end be
length of focal chord
=
Create a free account to view solution
View Solution FreeMore Parabola Questions
The parabolas y2 = 4x and x2 = 4y divide the square region bounded by the lines x = 4, y = 4 and the coordinate axes. If...If two tangents drawn from a point P to the parabola y2 = 4x be such that the slope of one tangent is double of the othe...AB, AC are tangents to a parabola y2 = 4ax, p1 p2 and p3 are the lengths of the perpendiculars from A, B and C respectiv...Let (x, y) be any point on the parabola y2 = 4x. Let P be the point that divides the line segment from (0, 0) to (x, y) ...F1 and F2 are focus of hyperbola 16x2 - 9y2 - 32x = 128.S = 0 is equation of parabola whose vertex is F1 and focus is F2...