CircleHard
Question
The area of the rectangle formed by the perpendiculars from the centre of the standard ellipse to the tangent and normal at its point whose eccentric angle is π/4 is -
Options
A.
B.
C.
D.
Solution

Let equation of ellipse is
Equation of tangent at P
x +
Equation of normal at P is
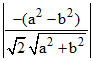
√2 ax - √2by = a2 - b2
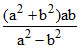
Now OT =
and ON =
Area of rectangle = OT. ON =
Create a free account to view solution
View Solution FreeMore Circle Questions
The locus of the centre of a circle of radius 2 which rolls on the outside of the circle x2 + y2 + 3x − 6y −...The angle of intersection of circles x2 + y2 + 8x − 2y − 9 = 0 and x2 + y2 − 2x + 8y − 7 = 0 is ...Let x2 + y2 - 2x - 2y = 0 & x2 + y2 + 2ax + 2ay + b = 0 are two different circles. If L is the only common tangent of th...The intercept on the line y = x by the circle x2 + y2 - 2x = 0 is AB. Equation of the circle on AB as a diameter is...Let T be the line passing through the points P(–2, 7) and Q(2, –5). Let F1 be the set of all pairs of circles (S1, S...