DeterminantHard
Question
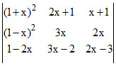
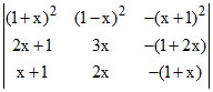
The equation
+
= 0
Options
A.has no real solution
B.has 4 real solution
C.has two real and two non-real solution
D.has infinite number of solutions, real or non-real
Solution
Since two columns are same in above determinants therefore we can add them along C3.
⇒
⇒ 0 = 0 ⇒ infinte solution
Create a free account to view solution
View Solution FreeMore Determinant Questions
Which of the following is true for matrix A =...If the determinant splits into exactly K determinants of order 3, each element of which contains only one term, then the...If a1, a2, a3 , 5, 4, a6, a7, a8, a9 are in H.P. and D = then the value of [D] is (Where [.] represents, the greatest in...-For positive numbers x, y, and z the numerical value of the determinant is...Let A = such that |A| = 0, then maximum value of x + y + z is...