Home
>
Math
>
Indefinite Integration
Indefinite Integration
Hard
Question
dx equals -
Options
A.
- x + c
B.
. ln
2
C.
. ln
2
+ c
D.
+ x + c
Solution
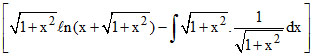
ln(x +
) dx
II I
=
=
ln (x +
) - x + C
Create a free account to view solution
View Solution Free
Topic:
Indefinite Integration
·
Practice all Indefinite Integration questions
More Indefinite Integration Questions
cos2 (ax + b) sin (ax + b) dx equals-...
(log x)2 dx equals-...
sin2x cos3dx is equal to-...
=...
dx is equal to-...