Indefinite IntegrationHard
Question
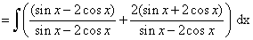
If the integral
dx = x + a ln|sin x - 2 cos x| + k then a is equal to :
dx = x + a ln|sin x - 2 cos x| + k then a is equal to :Options
A.2
B.-1
C.-2
D.1
Solution

5sinx = A(sinx - 2cosx)
(sinx - 2cosx) = A(sinx - 2cosx) + B (cosx + 2sinx)
A = 1, B = 2 Now


= x + 2log|sinx - 2cosx| + K
a = 2
Create a free account to view solution
View Solution Free