Home
>
Math
>
Indefinite Integration
Indefinite Integration
Hard
Question
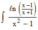
The value of
dx is equal to
Options
A.
+ C
B.
+ C
C.
+ C
D.
+ C
Solution
put ln
= t ⇒
dx = dt
⇒ I =
+ C
Create a free account to view solution
View Solution Free
Topic:
Indefinite Integration
·
Practice all Indefinite Integration questions
More Indefinite Integration Questions
Primitive of w.r.t.x is -...
The value of is-...
If dx = A cot x + b sin 2 x + C x/2 + D, then-...
The value of is equal to...
dx is equal to-...