Wave OpticsHard
Question
A monochromatic light source of wavelength λ is placed at S. Three slits S1, S2 and S3 are equidistant from the source S and the point P on the screen. S1P - S2P = λ /6 and S3P = 2λ /3. If I be the intensity at P when only one slit is open , the intensity at P when all the three slit are open is -


Options
A.31
B.51
C.81
D.zero
Solution
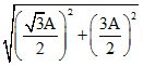
d12 =
× 2 = 
d23 =
× 2 = 2π
A′ =
= √3A
⇒ I ∝ A2 ⇒ AR2 = 3A2 ⇒ IR = 3I
d23 =
A′ =
⇒ I ∝ A2 ⇒ AR2 = 3A2 ⇒ IR = 3I
Create a free account to view solution
View Solution FreeMore Wave Optics Questions
Amplitude of waves observed by two light sources of same wave length are a and 2a and have a phase difference of π ...If first minima in a Young′s slit experiment occurs directly in front of one of slits, (distance between slit & sc...In the diffraction pattern of a single slit aperture, the width of the central fringe compared to widths of the other fr...In deriving the single slit diffraction pattern, it is observed that the intensity is zero at angle . In how many equal ...If the luminous intensity of a unidirectional bulb is 100 candela then total luminous flux emitted from the bulb is :...