LimitsHard

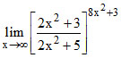
Question

is equal to -

Options

A.-8
B.1
C.e8
D.e-8

Solution

1 power infinity form
convert the base into 1+x form

Create a free account to view solution

View Solution Free
Topic: Limits·Practice all Limits questions

More Limits Questions