Continuity and DifferentiabilityHard
Question
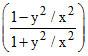
If cos-1
= log a then
=
Options
A.-x/y
B.-y/x
C.y/x
D.x/y
Solution
cos-1
= loga
⇒ 2tan-1
= log a ⇒ tan-1 
⇒ y/x = tan
Now differentiating both sides, we get
= 0 ⇒ 
⇒ 2tan-1
⇒ y/x = tan
Now differentiating both sides, we get
Create a free account to view solution
View Solution FreeMore Continuity and Differentiability Questions
f′(x) = g(x) and g′(x) = - f(x) for all real x and f(5) = 2 = f′(5) then f2(10) + g2(10) is -...If y = 3t2 & x = 2t then equals -...Which one of the following statements is not correct ?...Given that the derivative f’(a) exist. Indicate which of the following statement (s) is/are always true -...Consider f (x) = ; where [ ] denotes the greatest integer function, then -...