Current Electricity and Electrical InstrumentHard
Question
A current of 2 A flows through 2Ω resistor when connected across a batery. The same battery supplies current of 0.5 A when connected acros a 9Ω resistor. The internal resistance of the battery is
Options
A.0.5 Ω
B.1/3 Ω
C.1/4 Ω
D.1 Ω
Solution
Let ε be the emf and r be internal resistance of the batteryIn first case

...... (i)
In second case

...... (ii)
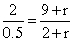
Divide (i) by (ii)
⇒ 4 + 2 r = 4.5 + 0.5 r
1.5 r = 0.5 ⇒ r =

...... (i)In second case

...... (ii)Divide (i) by (ii)
⇒ 4 + 2 r = 4.5 + 0.5 r1.5 r = 0.5 ⇒ r =

Create a free account to view solution
View Solution FreeTopic: Current Electricity and Electrical Instrument·Practice all Current Electricity and Electrical Instrument questions
More Current Electricity and Electrical Instrument Questions
The potential difference between the terminals of a battery of emf 10 V and internal resistance 1Ω drops to 9.8 V w...A potential difference of 2V is applied between the opposite faces of a Ge crystal plant of area 1 cm2 and thickness 0.5...A current of 2 A is flowing through a cell of e.m.f. 5 V and internal resistance 0.5 Ω from negative to positive el...Consider a cylindrical element as shown in the figure. Current flowing the through element is I and resistivity of mater...In the following arrangement, the resistance measured is given by Rmeasured = , V = voltage reading ofvoltmeter, i = cur...