ElectrostaticsHard
Question
Four electric charge +q, +q, -q and -q are placed at the corner of a square of side 2 L (see figure). The electric potential at point A, midway between the two charge +q and +q, is


Options
A.

B.

C.

D.zero
Solution
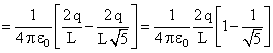
A is the midpoint of PS
∴ PA = AS = L
AR = AQ =

Electric potential at a point A due to the given charge configuration is



Create a free account to view solution
View Solution FreeMore Electrostatics Questions
Two point charges + 9e and +e are kept 16 cm. apart to each other. Where a third charge q is placed between them so that...If ′n′ identical water drops (assumed spherical each) charged to a potential energy U coalesce to form a sin...Consider the following reaction: x MnO4- + y C2O42- + z H+ → x Mn2+ + (2y) CO2 + (z/2) H2O The values of x, y and z...Electric flux through a surface of area 100 m2 lying in the xy plane is (in V-m) if E = î + √2ĵ + √...Two charge of magnitude +q and -3qare placed 100 cm apart. The distance from +qbetween the charge where the electrostati...