Rotational MotionHard
Question
The moment of inertia of a thin uniform rod of mass M and length L about an axis passingthrough its midpoint and perpendicular to its length is I0. Its moment of inertia about an axis passing through one of its ends and perpendicular to its length is
Options
A.I0 + ML2/2
B.I0 + ML2/4
C.I0 + 2ML2
D.I0 + ML2
Solution
According to the theorem of parallel axes, the moment of inertia of the thin rod of mass M and length L about an axis passing through one of the ends is
I = ICM + M d2
Where ICM is the moment of inertia of the given rod about an axis passing through its centre of mass and perpendicular to its length and d is the distance between two parallel axes.
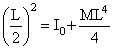
ICM = I0, d =
∴ I = I0 + M
I = ICM + M d2
Where ICM is the moment of inertia of the given rod about an axis passing through its centre of mass and perpendicular to its length and d is the distance between two parallel axes.
ICM = I0, d =

∴ I = I0 + M

Create a free account to view solution
View Solution FreeMore Rotational Motion Questions
A uniform thin rod AB is equipped at both ends with the hooks shown and is supported by a frictionless horizontal table....Portion AB of the wedge shown in figure is rough and BC is smooth. A solid cylinder rolls without slipping from A to B. ...When a mass is rotating in a plane about a fixed point, its angular momentum is directed along:...Figure shows the variation of the moment of inertia of a uniform rod, about an axis passing through its centre and incli...Two point masses of 0.3 kg and 0.7 kg are fixed at the ends of a rod of length 1.4 m and of negligible mass. The rod is ...