DifferentiationHard
Question
If y = (sin-1 x)2 + (cos-1 x)2, then (1 - x2)
is equal to
Options
A.4
B.3
C.1
D.0
Solution
y =
- 2 sin-1 x.cos-1 x

⇒
= 2(sin-1 x - cos-1 x)
again differentiate both sides w.r.t x

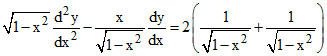
⇒ (1 - x2)
= 4
⇒
again differentiate both sides w.r.t x
⇒ (1 - x2)
Create a free account to view solution
View Solution FreeMore Differentiation Questions
Let ef(x) = ln x. If g(x) is the inverse function of f(x), then g′(x) equals to:...If f(x) = (x + 1) tan−1 (e− 2x), then f′(0) equals-...The differential coefficient of sec−1[1/(2x2−1)] with respect to at x = − 1/3 is -...If y = f(x) is an odd differentiable function defined on (- ∞, ∞) such that f′(3) = - 2, then f′..., is equal to, if -1 ≤ x ≤ -...