ElectrostaticsHard
Question
The electric potential V at any point (x, y, z), all in meters in space is given by V = 4x2 volts. The electric field at the point (1, 0, 2) in volt/meter, is
Options
A.8 along negative X-axis
B.8 along positive X-axis
C.16 along negative X-axis
D.16 along positive X-axis
Solution

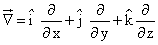
where

∴

Here, V = 4x2
∴
The electric field at point (1, 0, 2) is

So electric field is along the negative X-axis.
Create a free account to view solution
View Solution FreeMore Electrostatics Questions
Which statement is not correct for a conducting charged sphere -...Eight point charges (can be assumed as uniformly charged small spheres and their centres at the corner of the cube) havi...Two identical particles of mass m carry a charge Q each. Initially one is at rest on a smooth horizontal plane and the o...Figure (a) shows an imaginary cube of edge length L. A uniformly charged rod of length 2L moves towards left at a small ...A charge Q is kept at the centre of a conducting sphere of inner radius R1 and outer radius R2. A point charge q is kept...