Trigonometric EquationHard
Question
If tan α = (1 + 2-x)-1, tan β = (1 + 2x+1)-1, then α + β =
Options
A.π/6
B.π/4
C.π/3
D.π/2
Solution
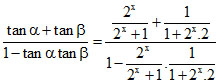
tan α =
tanβ =
tan (α + β) =

=
tan(α + β) = 1, α + β = tan-1 (1) =
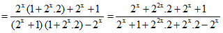
tan (α + β) =
=
tan(α + β) = 1, α + β = tan-1 (1) =
Create a free account to view solution
View Solution FreeMore Trigonometric Equation Questions
The normal to the curve x = a(1 + cos θ), y = asinθ at ′θ′ always passes through the fixed po...Let P = (-1, 0), Q = (0, 0) and R = (3, 3√3) be three points. The equation of the bisector of the angle PQR...The solution of the differential equation tan y = is : -...If cos θ = - and π < θ < , then the value of 4 tan2 θ - 3 cosec2 θ is equal to -...Let y = (sinx + cosecx)2 + (cosx + secx)2 , then minimum value of y is -...