VectorHard
Question
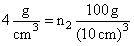
The density of a material in CGS system of unit is 4 g cm-3 . In a system of unit in whichunit of length is 10 cm and unit of mass is 100 g, the value of density of material will be
Options
A.0.04
B.0.4
C.40
D.400
More Vector Questions
Which is the following physical quantities do not have same dimension?...If and then the angle between and is :...In a vernier calipers the main scale and the vernier scale are made up different materials. When the room temperature in...The heat generated in a circuit is dependent upon the resistance, current and time for which the current is flown. If th...A physical parameter a can be determined by measuring the parameters b, c, d and e using the relation a = bα cβ...
⇒ n2 = 40