Heat and Thermal ExpansionHard
Question
Radiation from a black body at the thermodynamic temperature T1 is measured by a small detector at distance d1 from it. When the temperature is increased to T2 and the distance to d2, the power received by the detector is unchanged. What is the ratio d2/d1 ?
Options
A.
B.
C.
D.
Solution
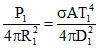
Intensity in first case
I1 =
Intensity in second case
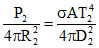
I2 =
Given I1 = I2 ⇒
I1 =
Intensity in second case
I2 =
Given I1 = I2 ⇒
Create a free account to view solution
View Solution FreeMore Heat and Thermal Expansion Questions
540 g of ice at 0oC is mixed with 540g of water at 80oC. The temperature of the mixture is (Give latent heat of fusion o...A spherical body with an initial temperature T1 is allowed to coll in surrounding at temperature T0(< T1). The mass o...Two identical masses of 5 kg each fall on a wheel from a height of 10m. The wheel disturbs a mass of 2kg water, the rise...An ideal monotonic gas undergoes a cycle ABCA as shown in the fig. The ratio of heat absorbed during AB to the work done...A rectangular narrow U-tube has equal arm lengths and base length, each equal to l. The verticalarms are filled with mer...