Heat and Thermal ExpansionHard
Question
A glass rod measured with a zinc scale, both being at 30oC appears to be of length 100cm. If the scale shows correct reading at 0oC that the true length of glass rod at 30oC and 0oC are : -
(αglass = 8 × 10-6 oC-1, αzinc = 26 × 10-6 K-1)
(αglass = 8 × 10-6 oC-1, αzinc = 26 × 10-6 K-1)
Options
A.100.054 cm, 100.054 cm
B.100.078 cm, 100.078 cm
C.100.078 cm, 100.54 cm
D.100.054 cm, 100.078 cm
Solution
At 30o true length is given by
= SR(1 + αzincᐃT)
= 100 (1 + 26 × 10-6 × 30) = 100.078 cm
At 0o true length is given by
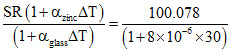
=
= 100.054 cm
= SR(1 + αzincᐃT)
= 100 (1 + 26 × 10-6 × 30) = 100.078 cm
At 0o true length is given by
=
= 100.054 cm
Create a free account to view solution
View Solution FreeMore Heat and Thermal Expansion Questions
Two cylinders A and B fitted with piston contain the equal amount of an ideal diatomic gas at 300K. The piston of A is f...A spherical body with an initial temperature T1 is allowed to coll in surrounding at temperature T0(< T1). The mass o...A thermally insulated vessel contains some water at 0oC. The vessel connected to a vacuum pump out water vapor. This res...When water is heated from 0oC to 4oC and CP and CV are specific heats at constant pressure and constant volume respectiv...The following four wires are made of the same material. Which of these will have the largest extension when the same ten...