Heat and Thermal ExpansionHard
Question
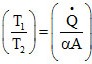
A rod of length L with sides fully insulated is of a material whose thermal conductivity varies with temperature as K =
, where α is constant. The ends of the rod are kept at temperature T1 and T2. The temperature T at x, where is the distance from the end whose temperature is T1 is : -
Options
A.T1 
B.
C.
D.T1 +
x
Solution
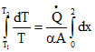
KA
⇒
....(i) & -
....(ii)
⇒ l n
L and l n
x
⇒ T = T1
⇒
⇒ l n
⇒ T = T1
Create a free account to view solution
View Solution FreeMore Heat and Thermal Expansion Questions
On mixing 10 mL of carbon tetrachloride with 10 mL of benzene, the total volume of the solution is...The weight of a person is 60 kg. If he gets10 calories of heat through food and the efficiency of his body is 28%, then ...The following four wires are made of the same material. Which of these will have the largest extension when the same ten...The figure shows two thin rods, one made of aluminum [α = 23 × 10-6 (Co)-1] and the other of steel [α = 1...A brass disc simply in a steel plate. The disc from the hole can be loosened if the system (αbrass > αsteel...