Heat and Thermal ExpansionHard
Question
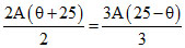
Two plates of equal areas are in contact with each other. Their thickness are 2 cm ans 3cm respectively. Temperature of external surface of first plate is - 25oC and that of external surface of second plate is 25oC What will be temperature of contact surface if the plates :-
(i) Are of same material (ii) Have thermal Conductivity ratio 2 : 3
(i) Are of same material (ii) Have thermal Conductivity ratio 2 : 3
Options
A.(i) - 5oC (ii) 0oC
B.(i) 5oC (ii) 0oC
C.(i) 0oC (ii) - 5oC
D.None of these
More Heat and Thermal Expansion Questions
A refrigerator converts 100 g of water at 25oC into ice at - 10oC in one hour and 50 minutes. The quantity of heat remov...One mole of ideal gas undergoes a cyclic process ACBA as shown in figure. Process AC is adiabatic. The temperatures at A...A thermocouple of negligible resistance produces an e.m.f of 40 μ V/oC in the linear range of temperature. A galvan...Tree closed vessels A, Sb and C at the same temperature T and contain gasses which obey the Maxwellian distribution of v...n moles of an ideal triatomic linear gas undergoes a proses in which the temperature changes with volume as T = k1V2 whe...
