Heat and Thermal ExpansionHard
Question
The coefficient of linear expansion ′ α ′ of the material a rod of length l0 varies with absolute temperature as α = aT - bT2 where where a & b are constants.The linear expansion of the rod when heated from T1 to T2 = 2T1 is :-
Options
A.
B.
C.
D.None of these.
Solution
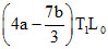
∵ dl = αl0dT ∴ ᐃl =
dl =
(aT - bT2) l0dT∵ dl = αl0dT ∴ ᐃl =
dl =
(aT - bT2) l0dT

Create a free account to view solution
View Solution FreeMore Heat and Thermal Expansion Questions
If the adsorption coefficient and reflection of a surface of a body are 0.6 restively then : -...An aluminum and steel rods having same lengths and cross-sections are joined to make total length of 120 cm at $30^{\cir...A cup of tea cools from 80oC to 60oC in one minute.the ambient temperature is 30oC. In cooling from 60oC to 50oC. will t...A and Bare two points on a uniform metal ring whose center is C. The angle ABC = θ. A and B maintained at two diffe...A gas expands such that its initial and final temperature are equal. Also, The process followed by the gas traces a stra...