KinematicsHard
Question
A car, starting from rest, has constant acceleration α1 for time t1 during which it covers a distance s1.
In the next interval t2, the car has a constant retardation α2 and comes to rest after covering a
distance s2 in time t2. The average speed of the car during the complete journey is :-
In the next interval t2, the car has a constant retardation α2 and comes to rest after covering a
distance s2 in time t2. The average speed of the car during the complete journey is :-
Options
A.Zero
B.
C.
D.Both options (2) and (3)
Solution
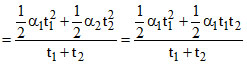
Average speed =

∵ α1t1 = αt2 (by I equation of motion)
∴ Vavg
α1t1 or
α2t2
∵ α1t1 = αt2 (by I equation of motion)
∴ Vavg
Create a free account to view solution
View Solution FreeMore Kinematics Questions
A sniper fires a rifle bullet into a gasoline tank making a hole 50 m below the surface of gasoline. The tank was sealed...The total speed of a projectile at its greatest is of its speed when it is half of its greatest height. The angle of pro...A small sphere of radius 'r' falls from rest in a viscous liquid. As a result, heat is produced due to viscous f...Initially car A is 10.5 m ahead of car B. Both start moving at time t = 0 in the same direction along a straight line . ...A gardender holds a hosepipe through which water is gusing out at a rate of 4kg s-1 with speed 2ms-1. The moment the spe...