Heat and Thermal ExpansionHard
Question
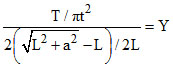
In the following figure a wire of cross sectional radius r is fixed lightly at P and Q. The Young′s modulus of the material of the wire is Y and a << L. If it is pulled into the form PRQ, the tension generated in the wire is :-


Options
A.
B.
C.
D.∫
More Heat and Thermal Expansion Questions
When unit of water boils to become steam at 100oC, it absorbs Q amount of heat. The densities o water and steam at 100o ...Let , vrms and vp respectively denote the mean speed the root - mean - squares speed- and most probable is m : -...A triangular plate has two cavities one square and one regular as shown figure The plate is heated....Hailstone at 0oC falls from a height of 1 km on an insulating surface converting whole of its kinetic energy into heat. ...Four containers are filled with monoatomic ideal gases. For each container, the number of moles, the mass of an individu...