Differential EquationHard
Question
A curve y = f(x) passing through (1, 1) given by the solution of the differential equation x2ey.
- 2xey + tan-1x, is -
Options
A.y = log
B.y = log(2x - 1) + (x - 1) tan-1x + 1
C.y = log
D.y = log
Solution
x2ey.
- 2xey + tan-1x
⇒ x2ey. dy + 2xey =
dx
⇒ d(x2ey) = d(x.tan-1x)
⇒ x2ey = xtan-1x + C
at (1, 1), e =
+ C ⇒ C = e - 0
x2ey = x tan-1 + e -
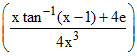
ey =
y = log
⇒ x2ey. dy + 2xey =
⇒ d(x2ey) = d(x.tan-1x)
⇒ x2ey = xtan-1x + C
at (1, 1), e =
x2ey = x tan-1 + e -
ey =
y = log
Create a free account to view solution
View Solution FreeMore Differential Equation Questions
The equation of the curve passing through origin and satisfying the differential equation = sin (10x + 6y) is -...The equation of the curve passing through (3, 4) & satisfying the differential equation, y+ (x - y)- x = 0 can be -...The solution of the differential equation x = y (log y − log x + 1) is-...The solution of = x log x is-...Solution of differential equation xdy - y dx = 0 represents :...